Repository logo
  • English
  • Deutsch
  • Español
  • Français
  • Log In
    New user? Click here to register.Have you forgotten your password?
Repository logo
  • Communities & Collections
  • Research Outputs
  • Fundings & Projects
  • People
  • Statistics
  • English
  • Deutsch
  • Español
  • Français
  • Log In
    New user? Click here to register.Have you forgotten your password?
  1. Home
  2. Browse by Department

Browsing by Department "Posgrados"

Now showing 1 - 6 of 6
Results Per Page
Sort Options
  • No Thumbnail Available
    Some of the metrics are blocked by your 
    consent settings
    Publication
    Analysis of information security in the PoW (Proof of Work) and PoS (Proof of Stake)blockchain protocols as an alternative for handling confidential nformation in the public finance ecuadorian sector
    (IEEE, 2021-06-23)
    Silvana Abigail Yacchirema Chicaiza
    ;
    SAGUAY CHAFLA, CIRO NAPOLEON  
    ;
    Ramiro Delgado Rodriguez
    ;
    Luis Fernando Enriquez Alvarez
    ;
    IÑIGUEZ MATUTE, POLO FABIAN  
  • Loading...
    Thumbnail Image
    Some of the metrics are blocked by your 
    consent settings
    Publication
    Effect of Longer Pre-Starter Diet Allowance on Post-Weaning Performance of Lightweight Piglets
    (MDPI AG, 2024-12-01)
    Francesc González-Solé
    ;
    David Solà-Oriol
    ;
    VILLAGOMEZ ESTRADA, SANDRA DANIELA  
    ;
    Ramon Muns
    ;
    José Francisco Pérez
    First-phase diets are formulated to help pigs reach a target body weight before switching to a more affordable diet. However, these transitions typically take place on a fixed schedule, which may disadvantage low-body-weight piglets due to their underdeveloped digestive systems and limited feed intake capacity. This study examined the effects of offering low-body-weight (BW) pigs a pre-starter diet until they reached a target BW on growth performance and BW variability. A total of 528 pigs ([Landrace × Yorkshire] × Pietrain), weaned at day 21, representing the smallest 50% of their batch, were divided into medium (5.35 ± 0.31 kg) and small (3.97 ± 0.21 kg) groups based on weaning BW. Pigs received a pre-starter diet either for 10 days (FIXED) or until they reached a target BW of 7.9 kg (TBW), followed by a starter feed. Growth performance between the TBW and fixed strategies was similar over the 36-day period. Overall, mortality was higher in small pigs, though small pigs fed using the fixed strategy showed higher mortality than the rest of the groups between days 10 and 36. This study concludes that offering a pre-starter diet based on target BW, instead of a fixed time, did not significantly improve growth performance or batch uniformity but reduced mortality in small pigs from days 10 to 36.
  • Loading...
    Thumbnail Image
    Some of the metrics are blocked by your 
    consent settings
    Publication
    Exploring zinc deficiency using serum Zn levels: consequences and potential solutions in suckling pigs
    (Oxford University Press (OUP), 2023-11-30)
    Laia Blavi
    ;
    VILLAGOMEZ ESTRADA, SANDRA DANIELA  
    ;
    David Solà-Oriol
    ;
    José F Pérez
    Three trials were undertaken to provide an answer to different questions: 1) Are suckling pigs able to maintain physiological serum Zn levels throughout lactation and do these levels vary between high and low body weight (BW) pigs?, 2) Are serum Zn levels in pigs soon after weaning a predisposing factor for diarrhea?, and 3) Is it possible to increase serum Zn levels at weaning by supplementing Zn during lactation. In trial 1, blood samples were taken from pigs during lactation. Eight pigs (one piglet per litter) had blood drawn on days 0 (farrowing), 7, 14, 21, and 28 (weaning), and 60 pigs (selected from the whole farrowing batch with 35 sows), categorized as either heavy (8.63 kg) or light (5.50 kg) had blood drawn on day 28. Serum Zn levels at birth were 1.2 mg/L and decreased (P < 0.01) to 0.67 mg/L on day 28. Heavier pigs showed greater (P < 0.01) serum Zn levels (0.98 mg/L) than light BW pigs (0.79 mg/L). In trial 2, blood samples were obtained from 240 pigs at weaning (26.2 ± 2.5 d) with an average initial BW of 6.94 ± 1.87 kg and were distributed into 24 pens (10 pigs/pen) by BW. Diarrhea incidence was recorded daily from days 0 to 35 post-weaning. From the 240 pigs, a group of 110 pigs with uniform BW (6.5 ± 1.9 kg) was selected and separated into two groups based on serum Zn levels at weaning with 55 pigs with low serum Zn (LZn: <0.71 mg/L) and 55 pigs with high serum Zn (HZn: >0.9 mg/L). Pigs with LZn were 2.49 times as likely to have diarrhea as pigs with HZn (P < 0.02). In trial 3, a total of 96 suckling pigs were allotted four treatments that consisted of the daily administration of 0, 6, 18, or 30 mg of Zn as Zn citrate in capsule form during the last 7 d of lactation. Pigs were individually weighed, and blood samples were obtained on days 14, 21 (weaning), and 7 after weaning. Serum Zn levels linearly increased by day as Zn citrate supplementation increased (interaction, P < 0.001). However, only light pigs supplemented with 18 and 30 mg/L of Zn experienced an increase in serum Zn levels during lactation. In conclusion, a decrease in serum Zn levels occurs during lactation and is more severe in low BW pigs. Low Zn status (< 0.7 mg/L) at weaning may be a predisposing factor for diarrhea. However, Zn supplementation during lactation can mitigate this decrease in light pigs.
  • No Thumbnail Available
    Some of the metrics are blocked by your 
    consent settings
    Publication
    Hereditary gingival fibromatosis: A Case Report.
    (Facultad de Odontologia, Universidad de Concepcion, 2021-06-30)
    Daysi Morocho-Monteros
    ;
    PARISE VASCO, JUAN MARCOS  
    ;
    Danela Cisneros-Boada
    ;
    MANZANO FLORES, ELCIRA SABELA  
    Introduction: Hereditary gingival fibromatosis is a rare disorder with a genetic component that may appear during tooth replacement. This condition can cause functional and aesthetic pro-blems such as malocclusions, diastemas, pain when chewing, dental caries, periodontal disease, delayed eruption, among others. Objective: To report the multidisciplinary treatment provided to a patient with hereditary gingival fibromatosis. Case Report: This report describes the treatment carried out in a thirteen-year-old male patient presenting generalized increase in gingival volume associated with functional and aesthetic compromise and delayed eruption of permanent teeth. After diagnosis, a multidisciplinary intervention was proposed, involving perio-dontal and pediatric dentistry procedures, which improved the quality of life of the patient both functionally and aesthetically. Conclusion: Hereditary gingival fibromatosis not only affects the dental eruption process, but also causes aesthetic and emotional alterations in the patient. The periodontal procedures significantly im-proved the appearance, function, and the psychological state of the patient.
  • Loading...
    Thumbnail Image
    Some of the metrics are blocked by your 
    consent settings
    Publication
    Specialized Feed-Additive Blends of Short- and Medium-Chain Fatty Acids Improve Sow and Pig Performance During Nursery and Post-Weaning Phase
    (MDPI AG, 2024-12-20)
    VILLAGOMEZ ESTRADA, SANDRA DANIELA  
    ;
    MELO DURÁN, DIEGO ALEXANDER  
    ;
    Sandra van Kuijk
    ;
    José F. Pérez
    ;
    David Solà-Oriol
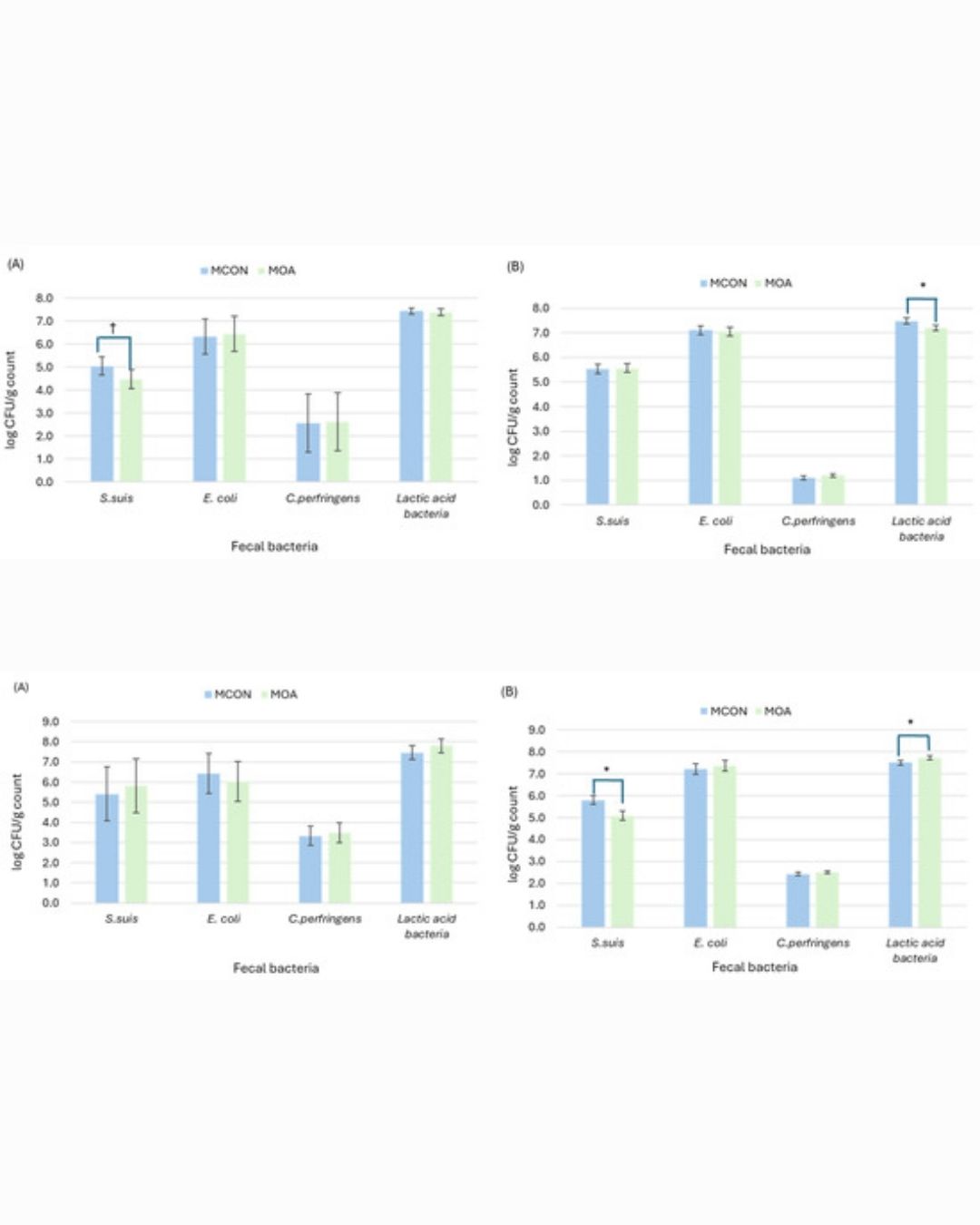
    The present study investigates the impact of supplementing diets with a synergistic blend of short- and medium-chain fatty acids (SCFAs-MCFAs) during the peripartum and lactation phases on early microbial colonization and the subsequent growth performance of newborn pigs. The experiment involved 72 sows and their litters, with a follow-up on 528 weaned pigs. Sows were fed either a control diet or a diet supplemented with SCFAs-MCFAs and the pigs were monitored for their growth performance and microbial populations. Subsequently, selected weaned pigs were allotted to an SCFAs-MCFAs diet according to the maternal diet. Results showed that SCFAs-MCFAs supplementation led to reduced backfat loss in sows and improved pig weight and uniformity at weaning (p < 0.05). Additionally, suckling pigs exhibited significant shifts in gut microbiota, including increased lactic acid bacteria and reduced Streptococcus suis populations (p < 0.05). Although there was no influence of maternal diet on pig growth after weaning, there was a modulation on bacterial populations at 7 and 35 days post-weaning. Pigs fed SCFAs-MCFAs demonstrated improved feed efficiency with notable reductions in E. coli and Streptococcus suis counts. The findings suggest that maternal dietary supplementation with SCFAs-MCFAs can positively influence both sow and pig performance, offering a potential strategy to enhance productivity and health in the commercial swine production.
  • Loading...
    Thumbnail Image
    Some of the metrics are blocked by your 
    consent settings
    Publication
    Using in feed xylanase or stimbiotic to reduce the variability in corn nutritive value for broiler chickens
    (Elsevier BV, 2024-03)
    MELO DURÁN, DIEGO ALEXANDER  
    ;
    Gemma González-Ortiz
    ;
    Michael R. Bedford
    ;
    VILLAGOMEZ ESTRADA, SANDRA DANIELA  
    ;
    Mercè Farré
    ;
    José F. Pérez
    ;
    David Solà-Oriol
    This study investigated the effects of xylanase and stimbiotic (fiber fermentation enhancer) on the response of broiler chickens fed different corn varieties and determine correlations between variables of interest. Four corn genetic varieties were selected based on their range in nutrient composition. Diets containing 600 g/kg of each corn were supplemented with 0 or 100 g/ton of xylanase or stimbiotic. A total of 1,152 one-day-old male broiler chicks (Ross 308) were divided into 12 treatments, each with 8 pens and 12 birds per pen, for a 21-day study. On d 21, performance parameters were measured, and the ileal energy and organic matter (OM) digestibility and cecal xylanase activity determined. Stimbiotic supplementation improved mFCR compared with all other treatments. There was a treatment by corn variety interaction for body weight (BW), BW gain and coefficient of variation (CV) of BW (P ≤ 0.05). Birds fed corn Variety 1 (highest neutral dietary fiber, protein and soluble arabinoxylan content) supplemented with stimbiotic had the highest BW, while Variety 2 control diet had the lowest. The BW CV in corn Variety 2 was the highest, which improved with stimbiotic supplementation. The BW CV in corn Variety 1 responded better to stimbiotic than xylanase. There were no treatment differences on BW CV in corn Varieties 3 and 4. The lowest OM digestibility was observed in birds fed corn Variety 1 with xylanase, and the highest value was associated with corn Variety 3 with xylanase (highest total arabinoxylan). Xylanase and stimbiotic supplementation increased the endogenous xylanase activity regardless of the corn variety (P ≤ 0.05). Positive correlations between corn fiber contents and phytic acid and the arabinose:xylose ratio were seen, while nonstarch polysaccharide content was negatively correlated with apparent metabolizable energy. In conclusion, corn variety influenced nutrient digestibility and broiler chicken growth. The response to supplementation with xylanase or stimbiotic varied based on the nutritional profile of corn with regards to improvements in digestibility and performance in broiler chickens.

  • Cookie settings
  • Privacy policy
  • End User Agreement
  • Send Feedback

Hosting & Support by

Built with DSpace-CRIS software - Extension maintained and optimized by 4Science