Options
Specialized Feed-Additive Blends of Short- and Medium-Chain Fatty Acids Improve Sow and Pig Performance During Nursery and Post-Weaning Phase
Journal
Animals
ISSN
2076-2615
Date Issued
2024-12-20
Author(s)
Sandra van Kuijk
José F. Pérez
David Solà-Oriol
Abstract
The present study investigates the impact of supplementing diets with a synergistic blend of short- and medium-chain fatty acids (SCFAs-MCFAs) during the peripartum and lactation phases on early microbial colonization and the subsequent growth performance of newborn pigs.
The experiment involved 72 sows and their litters, with a follow-up on 528 weaned pigs.
Sows were fed either a control diet or a diet supplemented with SCFAs-MCFAs and the pigs were monitored for their growth performance and microbial populations. Subsequently, selected weaned pigs were allotted to an SCFAs-MCFAs diet according to the maternal diet. Results showed that SCFAs-MCFAs supplementation led to reduced backfat loss in sows and improved pig weight and uniformity at weaning (p < 0.05).
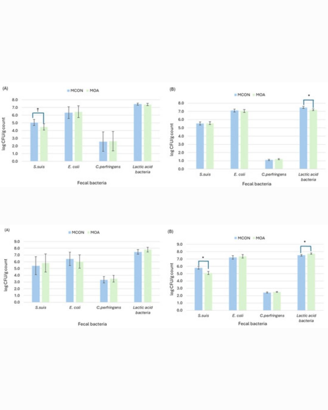
Additionally, suckling pigs exhibited significant shifts in gut microbiota, including increased lactic acid bacteria and reduced Streptococcus suis populations (p < 0.05).
Although there was no influence of maternal diet on pig growth after weaning, there was a modulation on bacterial populations at 7 and 35 days post-weaning. Pigs fed SCFAs-MCFAs demonstrated improved feed efficiency with notable reductions in E. coli and Streptococcus suis counts.
The findings suggest that maternal dietary supplementation with SCFAs-MCFAs can positively influence both sow and pig performance, offering a potential strategy to enhance productivity and health in the commercial swine production.
The experiment involved 72 sows and their litters, with a follow-up on 528 weaned pigs.
Sows were fed either a control diet or a diet supplemented with SCFAs-MCFAs and the pigs were monitored for their growth performance and microbial populations. Subsequently, selected weaned pigs were allotted to an SCFAs-MCFAs diet according to the maternal diet. Results showed that SCFAs-MCFAs supplementation led to reduced backfat loss in sows and improved pig weight and uniformity at weaning (p < 0.05).
Additionally, suckling pigs exhibited significant shifts in gut microbiota, including increased lactic acid bacteria and reduced Streptococcus suis populations (p < 0.05).
Although there was no influence of maternal diet on pig growth after weaning, there was a modulation on bacterial populations at 7 and 35 days post-weaning. Pigs fed SCFAs-MCFAs demonstrated improved feed efficiency with notable reductions in E. coli and Streptococcus suis counts.
The findings suggest that maternal dietary supplementation with SCFAs-MCFAs can positively influence both sow and pig performance, offering a potential strategy to enhance productivity and health in the commercial swine production.